CIÊNCIAS DA NATUREZA [UFVJM]
BIOLOGIA
Questão 1
As relações ecológicas observadas entre os seres vivos podem ser classificadas dentro de duas categorias baseadas no resultado dessas interações. Quando o resultado é benéfico para todos os organismos envolvidos, considera-se a relação Harmônica; quando um dos organismos é prejudicado e outro beneficiado na mesma relação, considera-se a interação Desarmônica. Com base no exposto e em seus conhecimentos sobre o assunto, ASSINALE a opção correta.
A) Bactérias da “flora intestinal” responsáveis por biossíntese de substâncias, como as vitaminas, mantêm com o seu hospedeiro uma relação Desarmônica.
B) Fungos e bactérias responsáveis pela fixação do nitrogênio livre (N2), associados às raízes de algumas leguminosas, atuam como parasitas usando essas plantas como abrigo em um tipo de relação Desarmônica.
C) Aves que utilizam o ninho de outras aves com intuito de garantir a criação mais adequada de seus filhotes, que receberão mais atenção dos seus pais adotivos, exemplificam um tipo de relação Harmônica.
D) Aves que retiram carrapatos do pêlo de grandes mamíferos estabelecem com eles uma relação Harmônica.
Questão 2
Um irmão e uma irmã, que nunca apresentaram problemas com sangramentos ocasionais (hemorragias), casaram e tiveram filhos. O filho dela apresentava hemorragias sempre que extraía os dentes, porém, os filhos dele nunca apresentaram esse tipo de problema. Diante do exposto é correto afirmar que esse tipo de herança é
A) dominante ligada ao cromossoma Y.
B) dominante ligada ao cromossoma X.
C) recessiva ligada ao cromossoma X.
D) recessiva ligada ao cromossoma Y.
Questão 3
ASSINALE a alternativa que indica as células que ao passarem por mutações genéticas NÃO as transmitam para outras gerações.
A) Gametas
B) Zigotos
C) Células somáticas
D) Células germinativas
Questão 4
Numa determinada espécie de roedor, a cor da pelagem pode ser cinza ou preta e é determinada por um par de genes alelos. Um macho de pelagem cinza foi cruzado com duas fêmeas: a fêmea I, que apresenta pelagem preta e a fêmea II, com pelagem cinza. Do cruzamento entre o macho e a fêmea I nasceu uma prole que só apresentou pelagem preta. Do cruzamento do macho com a fêmea II, a prole resultante apresentou pelagem cinza em sua totalidade. Diante do exposto, ASSINALE a alternativa correta.
A) O gene que determina pelagem preta é dominante; todos os progenitores são homozigotos para o caráter cor da pelagem.
B) O gene que determina pelagem cinza é dominante; todos os progenitores são heterozigotos para o caráter cor da pelagem.
C) O gene que determina pelagem preta é recessivo; todos os progenitores são homozigotos para o caráter cor da pelagem.
D) O gene que determina pelagem cinza é recessivo; todos os progenitores são heterozigotos para o caráter cor da pelagem.
Questão 5
Na busca por uma maior produção de grãos, agrônomos selecionaram artificialmente uma variedade de trigo que produzia 80% mais grãos que as variedades até então cultivadas. Em pouco tempo, os agricultores de uma determinada região abandonaram as variedades antigas e passaram a plantar apenas sementes dessa nova variedade. No entanto, não se sabia que a nova variedade era muito sensível às flutuações climáticas, especialmente, às altas temperaturas. Com base nas informações contidas no texto, é INCORRETO afirmar que
A) a seleção de uma única variedade de trigo para o plantio naquela região reduz, ou elimina a diversidade genética naquelas plantações.
B) com alterações ambientais, a baixa diversidade reduz a capacidade de sobrevivência das plantas.
C) o aumento na concentração de CO2 na atmosfera provoca o aquecimento global e isso pode afetar a produtividade da nova variedade.
D) a seleção artificial promove um aumento na diversidade da nova variedade, conforme o seu plantio for sendo intensificado.
Questão 6
Ao pesquisarem a fauna presente em algumas cavernas em Minas Gerais, biólogos observaram morcegos, coleópteros e em um pequeno curso de água, certa espécie mutante de peixe cego. Verificou-se, também, que esse tipo de mutação era mais freqüente dentro da caverna que fora dela. ASSINALE a alternativa que explica corretamente a observação dos biólogos.
A) Os peixes cegos são mais predados fora das cavernas que no interior delas.
B) Os peixes mutantes perderam a capacidade de enxergar por viverem no escuro.
C) Os peixes não-mutantes morrem mais freqüentemente no interior das cavernas.
D) As mutações para a cegueira ocorrem com maior freqüência no interior das cavernas.
Questão 7
Observe as pirâmides I, II, III, IV e as cadeias alimentares a, b, c, d.
ASSINALE a alternativa que contém a associação correta entre as pirâmides e as cadeias alimentares.
A) I-a; II-b; III-c; IV-d.
B) I-b; II-d; III-a; IV-c.
C) I-c; II-a; III-d; IV-b.
D) I-d; II-c; III-b; IV-a
FÍSICA
Questão 8
Observe esta figura.
Com base na figura, avalie estas afirmativas.
I) O sentido do campo elétrico produzido no ponto P pela carga q não depende do sinal da carga.
II) Suponha que o módulo do campo elétrico produzido no ponto P pela carga q seja E. Assim, se substituíssemos a carga q por uma carga 2q, o módulo do campo elétrico passaria a ser o dobro do anterior, isto é, 2E.
III) Uma carga de prova q0, colocada no ponto P, fica sujeita a uma força elétrica de módulo igual a q0E.
IV)Para cada carga colocada no ponto P, os vetores força e campo elétrico têm sempre a mesma direção.
ASSINALE a alternativa que apresenta apenas as afirmativas corretas.
A) I e II
B) II e III
C) II e IV
D) III e IV
Questão 9
Uma carga elétrica pontual q é transportada na região interna de um capacitor de placas paralelas, entre os pontos A e B, através do caminho tracejado, conforme mostra esta figura.
Com relação ao trabalho elétrico envolvido neste deslocamento, ASSINALE a alternativa correta.
A) O trabalho elétrico é nulo dado que a carga elétrica se move ao longo de uma linha de campo elétrico.
B) O trabalho elétrico é não nulo, dado que a carga elétrica foi deslocada em uma região de campo elétrico não nulo.
C) O trabalho elétrico é nulo, dado que a carga elétrica foi transportada ao longo de uma superfície equipotencial.
D) O trabalho elétrico é não nulo, dado que a força elétrica é conservativa.
Questão 10
Esta figura mostra três lâmpadas idênticas, que podem ser consideradas como resistores ideais de 6,0 Ω cada uma, ligadas a uma bateria ideal de força eletromotriz igual a 12 V.
Com base nessas informações, ASSINALE a alternativa INCORRETA.
A) A corrente elétrica fornecida pela bateria é igual a 6,0 A
B) A diferença de potencial aplicada a cada lâmpada é igual a 4,0 V.
C) A potência elétrica dissipada em cada lâmpada é igual 24 W.
D) A corrente fornecida pela bateria passa a ser de 4,0 A, se uma das lâmpadas queimar.
Questão 11
Uma descarga elétrica formada por cargas negativas atinge uma esfera metálica eletricamente neutra e isolada, como mostra esta figura.
ASSINALE a alternativa que representa corretamente a distribuição das cargas na esfera após ela atingir o equilíbrio eletrostático.
Questão 12
Esta figura mostra um trecho de um fio infinito percorrido por uma corrente i cujo sentido é dado pela seta
ASSINALE a alternativa que representa a configuração correta para o campo magnético nos pontos A e B, considerando que os símbolos
e representam os sentidos do campo magnético para dentro e para fora do plano do papel, respectivamente.
Questão 13
Esta figura mostra uma partícula carregada que entra em uma região de campo magnético uniforme B com velocidade escalar v0, descreve um semicírculo e depois deixa essa região.
Com base nessas informações, ASSINALE a alternativa correta.
A) A carga da partícula é positiva e a sua velocidade escalar final é menor do que v0.
B) A carga da partícula é negativa e a sua velocidade escalar final é igual a v0.
C) A carga da partícula é negativa e a sua velocidade escalar final é maior do que v0.
D) A carga da partícula é positiva e a sua velocidade escalar final é igual a v0.
Questão 14
Esta figura mostra nos instantes t1, t2 e t3, as posições de uma espira metálica que cai lentamente, em uma região com campos magnéticos.
Na região correspondente à metade superior da figura, o campo magnético é uniforme e oposto ao campo na região correspondente à metade inferior dessa figura. Considerando os instantes t1 e t3, ASSINALE a alternativa que apresenta os sentidos corretos das correntes induzidas pelas variações de ambos os fluxos
dos campos magnéticos.
A) horário e horário.
B) horário e anti-horário.
C) anti-horário e horário.
D) anti-horário e anti-horário.
QUÍMICA
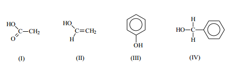
Questão 57
Os alcoóis formam um grupo de compostos muito importante para a sociedade moderna, considerando que estão presentes em bebidas alcoólicas, combustíveis, solventes, cosméticos, explosivos, etc. Observe estes exemplos de estruturas moleculares.
ASSINALE a alternativa correta.
A) As estruturas I e III apresentam a função álcool.
B) As estruturas II e IV apresentam a função álcool.
C) Apenas a estrutura II apresenta a função álcool.
D) Apenas a estrutura IV apresenta a função álcool.
Questão 58
A energia necessária para movimentar um automóvel movido à gasolina é obtida a partir da queima desse combustível:
A energia liberada é utilizada para movimentar o pistão do motor, ou seja, a energia térmica será parcialmente convertida em energia mecânica. O índice de resistência à detonação de combustíveis na câmara de combustão é chamado octanagem. Atualmente são utilizadas gasolinas de alta octanagem.
Esta tabela apresenta hidrocarbonetos com diferentes valores de octanagem.
De acordo com essas informações e com seus conhecimentos prévios, é INCORRETO afirmar que
A) gasolinas com muitos hidrocarbonetos de cadeia linear não suportam o aquecimento da câmera de combustão e explodem antes do momento ideal.
B) uma gasolina de octanagem 96 queima de maneira semelhante a uma mistura de 96% de 2,2,4-trimetilpentano e 4% de heptano.
C) maiores índices de octanagem são obtidos através do craqueamento do petróleo.
D) a inclusão de ramificações na cadeia carbônica leva a um aumento da octanagem.
Questão 59
O composto orgânico formado por 9 carbonos e 20 hidrogênios, que possui 2 carbonos terciários e 1 carbono quaternário possui cadeia
A) aberta, heterogênea e normal.
B) fechada, heterogênea e ramificada.
C) fechada, homogênea e normal.
D) aberta, homogênea e ramificada.
Questão 60
Em uma jazida petrolífera, normalmente, encontram-se água salgada e uma mistura gasosa que contém principalmente metano. Quando o local é perfurado, a pressão dos gases faz com que o petróleo jorre para fora. Ao reduzir a pressão, o petróleo pára de jorrar e tem de ser bombeado. É dessa forma que se obtém o chamado petróleo bruto. ASSINALE a alternativa que NÃO contem substância obtida a partir da refinação do petróleo.
A) Óleo diesel
B) Asfalto
C) Etanol e éter de petróleo
D) Gás natural.
Questão 61
A (S)-asparagina é o princípio ativo de um adoçante disponível comercialmente. Já a (R)-asparagina tem um sabor amargo.
De acordo com essas estruturas pode-se afirmar que elas são
A) esteroisômeros.
B) diasteroisômeros.
C) isômeros geométricos.
D) isômeros constitucionais.
Questão 62
A anilina (C6H7N) é uma amina aromática insolúvel em água que, ao reagir com ácido clorídrico (HCl), torna-se solúvel em água. ASSINALE a alternativa que apresenta o produto dessa reação.
Questão 63
O glicerol, álcool sintetizado como subproduto na produção de biodiesel, é uma substância com diversas aplicações industriais e farmacêuticas, é freqüentemente, utilizado como umectante, em pomadas e cremes mantendo a hidratação da pele e como lubrificante de máquinas.
Em relação ao glicerol, pode-se afirmar que
A) o ponto de ebulição do glicerol é mais baixo que o do etanol.
B) as interações intermoleculares predominantes entre as moléculas do glicerol são do tipo forças de Van der Waals.
C) o glicerol é extremamente solúvel em água porque estabelece ligações de hidrogênio com as moléculas deste solvente.
D) um hidrocarboneto com massa molar próxima ao do glicerol, por exemplo, o hexano (MM = 86 g/mol), apresenta ponto de ebulição mais alto que o do glicerol.

















Comentários